2025小姐威客信息,51龙凤茶楼论坛详情,广州新媛论坛qm,一品阁茶楼

EPDM的特性及用途

2024-11-14 16:10:17 EPDM

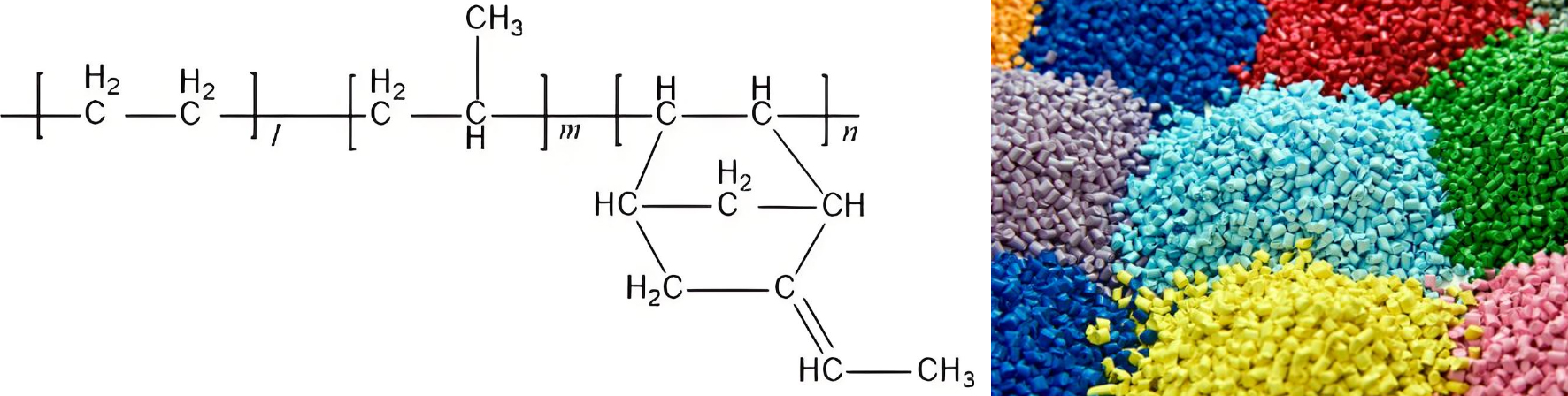
三元乙丙橡胶(EPDM)是一种性能卓越的合成橡胶,它在现代工业中占据着重要地位。EPDM 是乙烯、丙烯和少量非共轭二烯烃的共聚物,这种独特的分子构成决定了它具有许多与众不同的特性,使其能在广泛的领域中得到应用,为众多产品的性能提升和功能实现发挥关键作用。

一、EPDM的分子结构与性能的关系

EPDM 的分子主链主要由饱和烃组成,这是其化学稳定性高的根本原因。乙烯和丙烯单元的比例以及二烯烃的种类和含量可以在合成过程中进行调整,这种可调控性赋予了 EPDM 多样化的性能。例如,通过改变这些成分的比例,可以使橡胶的硬度、柔韧性、硫化速度等性能发生变化,以满足不同应用场景的需求。

注塑模具首选鸿仁威尔

二、EPDM的特性

(一)化学稳定性

1. 抗化学药品侵蚀

EPDM 的分子主链饱和程度高,使其对大多数化学药品具有出色的抵抗力。它能有效抵御醇、酸、碱、氧化剂、洗涤剂、动植物油、酮和脂等极性化学品的侵蚀。在化工生产中,如在酸碱环境的反应釜密封、管道连接等应用场景中,EPDM 密封垫圈和连接件能够长时间保持稳定,避免化学物质泄漏,保障生产安全和环境安全。这是因为其分子结构中的化学键在这些极性化学物质作用下不易断裂或发生反应。

2. 耐溶剂性特点

然而,EPDM 在脂肪族和芳香族溶剂(如汽油、苯、二甲苯等溶剂)和矿物油中的稳定性较差。这些有机溶剂能够渗透到橡胶分子之间,破坏分子间的作用力,导致橡胶膨胀、软化。在设计可能接触此类溶剂的橡胶制品时,需要充分考虑这一特性。例如,在燃油输送系统中,就不能单纯使用 EPDM 橡胶,需要对其进行改性或者采用其他耐油橡胶材料,或者采取隔离措施,如在橡胶表面设置耐油涂层等。

(二)耐老化性能

1. 耐臭氧性

EPDM 被誉为 “无龟裂橡胶”,其耐臭氧性极为突出。在臭氧浓度为 100×10??、拉伸 30% 的条件下,可达 150h 以上不龟裂。在汽车发动机舱这个高臭氧产生环境中,EPDM 制造的橡胶管、密封件等能够长期稳定工作。发动机运行过程中产生的电火花会使空气中的氧气转化为臭氧,而 EPDM 不会因臭氧侵蚀而出现裂纹,从而保证了汽车的密封性和正常运行,减少了因密封问题导致的故障风险。

2. 耐候性

EPDM 具有出色的耐候性,能长期在阳光、潮湿、寒冷等自然环境中使用。在建筑领域,作为屋顶防水材料,EPDM 防水卷材经过多年的日晒雨淋,依然能有效防止雨水渗漏。其分子结构中的化学键在紫外线照射、温度变化和湿度变化等自然因素影响下,具有较高的稳定性。研究表明,优质的 EPDM 屋顶防水卷材在正常使用条件下,使用寿命可达 25 年以上,为建筑物长期提供可靠的防水?;?。

3. 耐热性

EPDM 的耐热性能优秀,可在 150℃下长期使用,间歇使用时可耐 200℃的高温,且在高温环境下其物理性能变化缓慢。在汽车发动机附近的高温部件,如散热器胶管、风扇带等应用中,EPDM 能承受高温,保持良好的弹性和机械强度。在工业热交换器的密封件中,它也能在高温下保证良好的密封性能,确保热交换过程的稳定进行,防止因密封失效导致的能源损失和安全问题。

(三)耐水蒸汽和过热水性能

1. 耐水蒸汽性能

EPDM 是一种高分子烷烃,具有疏水性,与水蒸汽不易产生物理或化学作用。在 230℃过热蒸汽中放置 100 小时,其外观无明显变化。在工业蒸汽管道系统中,特别是在大型工厂的蒸汽输送管道的法兰连接处,使用 EPDM 垫片能够有效防止蒸汽泄漏。在浴室设施等潮湿环境下的密封应用中,如水龙头、淋浴喷头等的密封件,EPDM 也能表现出色,防止水渗漏和腐蚀。

2. 耐过热水性能

其耐过热水性能与所用硫化系统密切相关。以二硫代二吗啡啉为硫化系统的乙丙橡胶,在 125℃过热水中浸泡 15 个月后,力学性能变化甚小,体积膨胀率仅 0.3%。这一特性使得 EPDM 在热水供应系统、温泉设施等的密封和管道材料应用中具有很大优势,能够长期稳定地在热水环境中工作,保障系统的正常运行。

注塑模具首选鸿仁威尔

(四)电绝缘性能

EPDM 体积电阻率在 101?Ω?cm 数量级,击穿电压为 30 - 40mV/m,具有优异的电绝缘性能和耐电晕性。即使在浸水之后,其电性能变化也很小。在电线电缆行业,作为电线电缆护套,EPDM 能够有效?;さ缋履诓康牡继濉T诘缙璞钢?,如变压器、开关、绝缘子等的绝缘部件制造中,EPDM 能保证电气设备在正常运行过程中不会因绝缘问题出现故障。在水下电气设备和户外电气设施中,其在潮湿环境下仍能保持良好电绝缘性能的特点,更是发挥了关键作用,确保了电气系统的安全性和可靠性。

(五)低密度高填充性

EPDM 密度为 0.86 - 0.87g/cm3,是密度较低的橡胶。这一特性使其可以大量填充油和填充剂,并且在充油 100 份后,橡胶性能也不会大幅下降。在橡胶地砖、低端胶管等对成本较为敏感且对性能要求不是特别苛刻的橡胶制品生产中,可以通过添加填充剂来降低成本。同时,在填充大量填充剂后,其物理机械性能降低幅度不大,例如硬度、弹性等性能仍能满足一定的使用要求,这为降低产品成本和拓展应用范围提供了可能。

(六)弹性良好

EPDM 分子链柔顺性好,在低温下能保持良好的弹性。在通用橡胶中,其弹性仅次于天然橡胶和顺丁橡胶。在寒冷地区的码头缓冲器、桥梁减震垫等应用中,EPDM 能够有效地吸收和缓冲冲击力。在低温环境下,其分子链依然能够保持一定的运动能力,不会像一些其他橡胶那样变硬变脆,从而保证了在低温环境下的正常使用,保护相关设施免受损坏。

(七)粘接性差

EPDM 由于分子结构中缺少活性基团,内聚能低,加上胶料易于喷霜,所以自粘性和互粘性很差。在制造多层橡胶结构的产品或者需要将橡胶与其他材料粘接的情况下,需要特殊的粘接工艺和粘接剂。例如,在汽车内饰中,如果有 EPDM 橡胶与塑料或织物粘接的需求,就需要使用专门的胶水或进行表面处理,以提高粘接效果。不过,随着材料科学的发展,新型的粘接技术和专用粘接剂正在逐渐克服这一难题,拓宽了 EPDM 在复杂产品结构中的应用。

三、EPDM的用途

(一)汽车工业

1. 汽车密封条

汽车密封条是 EPDM 在汽车工业中的重要应用。车门、车窗、后备箱等部位的密封条需要良好的密封性能、耐候性和弹性。EPDM 的耐臭氧、耐老化和弹性特性使其能在汽车的整个使用寿命内保持密封效果。在不同的季节和环境条件下,无论是寒冷的冬天还是炎热的夏天,无论是干燥的环境还是潮湿的雨季,EPDM 密封条都能有效防止雨水、灰尘和噪音进入车内,为驾乘人员提供舒适的环境。

2. 挡风雨条

挡风雨条安装在汽车的前挡风玻璃、后挡风玻璃和侧窗玻璃周围,对于增强车辆密封性至关重要。EPDM 制成的挡风雨条能紧密贴合玻璃表面,在高速行驶和恶劣天气下有效阻挡风雨,减少风噪,提高驾驶的舒适性和安全性。其良好的柔韧性和弹性能够适应玻璃在车辆行驶过程中的微小位移和振动。

3. 散热器胶管

汽车散热器胶管工作在高温、高压和冷却液的腐蚀环境下。EPDM 的耐热性和化学稳定性使其成为制造散热器胶管的理想材料。它能承受发动机冷却液的高温和化学侵蚀,保证冷却液在散热器和发动机之间的正常循环,防止冷却液泄漏,确保发动机的正常散热和运行。在汽车的长期使用过程中,散热器胶管的可靠性对于发动机的寿命和性能有着关键影响。

4. 风扇带和引擎罩

风扇带在汽车发动机运转过程中承受巨大拉力和摩擦力,同时在高温环境下工作。EPDM 的高强度、耐热性和耐磨性使其能够满足风扇带的工作要求,保证风扇正常运转,为发动机散热提供保障。引擎罩需要具备良好的耐油、耐热和耐老化性能,以?;し⒍考PDM 在这些方面的优势使其在汽车引擎罩的制造中得到广泛应用,延长引擎罩的使用寿命,?;し⒍馐芡饨缁肪车乃鸷Α?/p>

5. 轮胎胎侧

在轮胎胎侧部分,EPDM 也有应用。胎侧需要具有良好的耐候性、抗臭氧性和弹性,以?;ぢ痔ブ魈迕馐芡饨缁肪秤跋?。虽然轮胎胎面通常采用其他具有更好耐磨性的橡胶材料,但胎侧使用 EPDM 可以提高轮胎的整体使用寿命和性能,减少因环境因素导致的胎侧老化和损坏。

注塑模具首选鸿仁威尔

(二)建筑领域

1. 屋顶防水材料

EPDM 橡胶防水卷材是现代建筑屋顶防水的主要材料之一。其优异的耐候性、耐水蒸汽性能和长期的防水效果,使其能有效?;そㄖ镂荻ソ峁姑馐苡晁?、雪水和露水的侵蚀。与传统的沥青防水卷材相比,EPDM 防水卷材具有更长的使用寿命、更好的耐候性和更低的维护成本。无论是平屋顶还是坡屋顶,EPDM 防水卷材都能提供可靠的防水屏障,减少屋顶漏水问题,保护建筑物内部结构和装修。

2. 防水卷材

除了屋顶防水,EPDM 防水卷材还广泛应用于建筑物的地下室、水池、隧道等需要防水的部位。在这些环境中,它能承受地下水压力、潮湿环境和可能存在的化学物质侵蚀,确保防水效果的持久性。其良好的柔韧性使其在复杂的建筑结构表面铺设时能更好地贴合,减少渗漏风险,为建筑物的防水工程提供了优质的材料选择。

3. 窗户密封条

建筑物窗户的密封条需要具备良好的密封性能、耐候性和弹性,以防止雨水、空气和噪音的渗透。EPDM 制成的窗户密封条能够满足这些要求,提高建筑物的节能效果和居住舒适度。在不同气候条件下,EPDM 窗户密封条都能保持良好的性能,无论是寒冷干燥的北方还是炎热潮湿的南方,都能有效阻挡外界因素,保持室内环境的稳定。

4. 屋顶胶板

屋顶胶板用于覆盖屋顶表面,起到防水、隔热和?;の荻ソ峁沟淖饔?。EPDM 屋顶胶板具有重量轻、安装方便、耐候性好等优点。它可以根据屋顶的形状和尺寸进行定制,并且在长期使用过程中不需要频繁维护,降低了建筑物的维护成本和对环境的影响,为屋顶的保护和功能实现提供了可靠的解决方案。

(三)电力与电子领域

1. 电线电缆护套

在电线电缆行业,EPDM 被广泛用于制造护套。电线电缆在使用过程中可能暴露在各种环境中,包括潮湿、高温、化学污染等。EPDM 的电绝缘性能、耐水蒸汽性能和耐化学稳定性能够有效?;さ缋履诓康牡继?,防止漏电和短路现象的发生。同时,其良好的柔韧性和耐磨性使得电缆在安装和使用过程中能承受一定的机械应力,延长电缆的使用寿命,保障电力传输的安全和稳定。

2. 电气绝缘体

在电气设备中,如变压器、开关、绝缘子等,需要高性能的绝缘材料。EPDM 的高电绝缘性能、耐电晕性和在不同环境下的稳定性,使其成为制造这些电气绝缘体的理想选择。它能保证电气设备在正常运行过程中不会因绝缘问题而出现故障,提高电气系统的安全性和可靠性,为电力系统的稳定运行提供有力支持。

注塑模具首选鸿仁威尔

(四)其他领域

1. 胶管和胶带

在工业和民用领域,EPDM 制成的胶管和胶带应用广泛。在食品加工行业,用于输送食品原料和液体的胶管需要符合食品卫生标准并且具有良好的耐化学性和柔韧性,EPDM 胶管能够满足这些要求。在输送带方面,一些需要在户外或潮湿环境下工作的输送带,使用 EPDM 可以提高其使用寿命和可靠性。在胶带应用中,如一些需要在恶劣环境下粘贴固定的胶带,EPDM 材料能提供更好的耐久性和粘性。

2. 胶鞋

胶鞋需要具备良好的耐磨性、耐水性和舒适性。EPDM 可以用于胶鞋的鞋底和鞋面部分,提供良好的防滑性能、防水性能和弹性,使胶鞋穿着更加舒适,并且在不同的地面和环境条件下具有更好的耐用性。无论是在潮湿的雨天行走还是在粗糙的地面工作,EPDM 胶鞋都能表现出色。

3. 橡胶地砖

橡胶地砖在公共场所、健身房、幼儿园等地方广泛使用。EPDM 的低密度高填充性使其可以在保证一定性能的前提下降低成本。同时,其弹性和耐磨性使得橡胶地砖能够承受人员的行走和活动,减少噪音和滑倒的风险,并且具有较好的耐候性和耐化学性,便于清洁和维护,为人们提供了安全、舒适的活动地面。

4. 各种胶布和胶船

在一些特殊的工业和水上作业中,如石油化工、水上救援等,需要使用胶布和胶船等橡胶制品。EPDM 的耐化学性、耐水性和强度等性能能够满足这些应用的要求,为相关作业提供可靠的材料支持。例如,在石油化工行业的防泄漏胶布和水上救援的胶船制造中,EPDM 发挥着重要作用。

四、总结

三元乙丙橡胶(EPDM)凭借其独特的化学稳定性、耐老化性、耐水蒸汽和过热水性能、电绝缘性能、低密度高填充性、良好弹性以及特殊的粘接性特点,在汽车工业、建筑领域、电力与电子领域以及其他众多领域有着广泛而关键的应用。随着科技的不断进步,对 EPDM 性能的优化和新应用领域的探索将持续推动其在现代工业和生活中的发展,为各行各业提供更优质、更可靠的材料解决方案,进一步提升产品质量和性能。同时,生产工艺的改进和成本控制也将增强其市场竞争力,使其在更多领域发挥更大的作用,满足不断变化的市场需求。

注塑模具首选鸿仁威尔


首页
产品
优势
联系